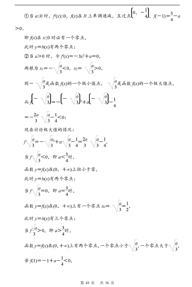
导数专题总结3---导数的综合应用(一)
切换到经典评论风格 查看更多评论 跟贴/ 浏览
为您推荐
- 推荐
- 集合逻辑
- 不等式
- 复数
- 函数
- 指数函数
- 对数函数
- 三角函数
- 导数
- 数列
- 平面向量
- 空间向量
- 立体几何
- 直线和圆
- 圆锥曲线
- 计数原理
- 分布列
- 概率统计
+
加载更多内容
月点击排行
周点击排行
- 1.471极值点偏移专题4之第二招---含参数
- 2.432极值点偏移专题3之第一招---不含参
- 3.228极值点偏移专题2---极值点偏移利器
- 4.197考点 导数及其应用(核心考点讲与练
- 5.190构造函数(终极)
- 6.181极值点偏移专题5之第三招---含对数
- 7.163导数的三板斧之分而治之
- 8.138三角函数在导数问题中的身影1----
- 9.125导数中证明不等式技巧——构造、切
- 1.471极值点偏移专题4之第二招---含参数
- 2.432极值点偏移专题3之第一招---不含参
- 3.228极值点偏移专题2---极值点偏移利器
- 4.197考点 导数及其应用(核心考点讲与练
- 5.190构造函数(终极)
- 6.181极值点偏移专题5之第三招---含对数
- 7.163导数的三板斧之分而治之
- 8.138三角函数在导数问题中的身影1----
- 9.125导数中证明不等式技巧——构造、切
- 1.1考点 导数及其应用(核心考点讲与练
- 2.0导数大题的常用找点技巧和常见模型
- 3.0导数的概念及其几何意义
- 4.0导数的隐极值点代换
- 5.0导数与函数的零点训练
- 6.0导数与函数的单调性训练
- 7.0导数值域分析
- 8.0导数中分类讨论的三种常见类型
- 9.0导数专题:函数的单调性
函数零点问题
- 三角函数 | 角平分线之斯库顿定理
- 函数 | 23个求极值和值域专题 (三)
- 三角函数 | 三角函数对偶式
- 三角函数 | 《解三角形》题型归纳
- 函数 | 23个求极值和值域专题 (一)
- 集合逻辑 | 命题 检测(教师版)
- 三角函数 | 解三角形的解题思路
- 知识点 | 知识点-立体几何知识点常见结论总


















