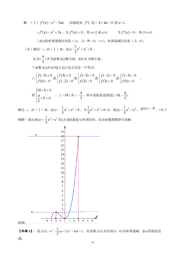
三次函数的所有题型
切换到经典评论风格 查看更多评论 跟贴/ 浏览
为您推荐
- 推荐
- 集合逻辑
- 不等式
- 复数
- 函数
- 指数函数
- 对数函数
- 三角函数
- 导数
- 数列
- 平面向量
- 空间向量
- 立体几何
- 直线和圆
- 圆锥曲线
- 计数原理
- 分布列
- 概率统计
+
加载更多内容
月点击排行
周点击排行
- 1.1580函数零点问题
- 2.104023个求极值和值域专题 (三)
- 3.99123个求极值和值域专题 (一)
- 4.60623个求极值和值域专题 (二)
- 5.305主元法
- 6.280考点 函数及其性质(核心考点讲与练
- 7.168函数的单调性 - 中等难度 - 讲义
- 8.118考点 函数及其性质(核心考点讲与练
- 9.98专题1 《以奇偶性为主导的函数性
- 1.1580函数零点问题
- 2.104023个求极值和值域专题 (三)
- 3.99123个求极值和值域专题 (一)
- 4.60623个求极值和值域专题 (二)
- 5.305主元法
- 6.280考点 函数及其性质(核心考点讲与练
- 7.168函数的单调性 - 中等难度 - 讲义
- 8.118考点 函数及其性质(核心考点讲与练
- 9.98专题1 《以奇偶性为主导的函数性
1. 函数零点问题
- 1.2函数零点问题
- 2.023个求极值和值域专题 (一)
- 3.023个求极值和值域专题 (二)
- 4.023个求极值和值域专题 (三)
- 5.0主元法
- 6.0数形结合解复合函数的零点个数的常
- 7.0函数的定义域基础概念
- 8.0函数的单调性证明答案
- 9.0函数的单调性证明
函数零点问题
- 三角函数 | 角平分线之斯库顿定理
- 函数 | 23个求极值和值域专题 (三)
- 三角函数 | 三角函数对偶式
- 三角函数 | 《解三角形》题型归纳
- 函数 | 23个求极值和值域专题 (一)
- 集合逻辑 | 命题 检测(教师版)
- 三角函数 | 解三角形的解题思路
- 知识点 | 知识点-立体几何知识点常见结论总
















