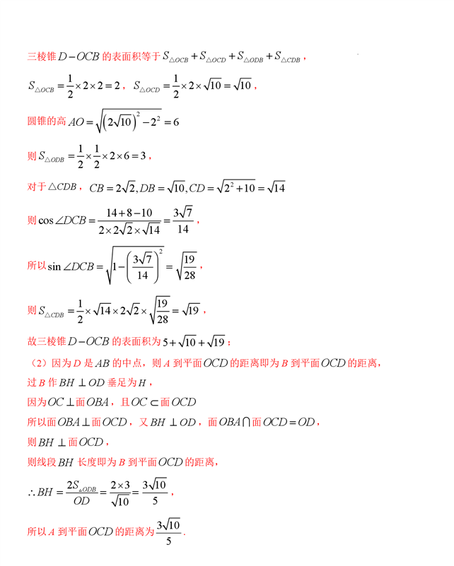
考点 空间几何体(核心考点讲与练)(四)
切换到经典评论风格 查看更多评论 跟贴/ 浏览
为您推荐
- 推荐
- 集合逻辑
- 不等式
- 复数
- 函数
- 指数函数
- 对数函数
- 三角函数
- 导数
- 数列
- 平面向量
- 空间向量
- 立体几何
- 直线和圆
- 圆锥曲线
- 计数原理
- 分布列
- 概率统计
+
加载更多内容
月点击排行
周点击排行
- 1.162考点 点、直线、平面之间的位置
- 2.137几何体的外接球与内切球满分突破10
- 3.101考点 点、直线、平面之间的位置
- 4.100立体几何高频考点、热点题型归类强
- 5.93考点 空间中的角度和距离问题(核
- 6.90考点 点、直线、平面之间的位置
- 7.78两招玩转多面体的外接球
- 8.70二面角大小的几种求法(归类总结分
- 9.69考点 点、直线、平面之间的位置
- 1.162考点 点、直线、平面之间的位置
- 2.137几何体的外接球与内切球满分突破10
- 3.101考点 点、直线、平面之间的位置
- 4.100立体几何高频考点、热点题型归类强
- 5.93考点 空间中的角度和距离问题(核
- 6.90考点 点、直线、平面之间的位置
- 7.78两招玩转多面体的外接球
- 8.70二面角大小的几种求法(归类总结分
- 9.69考点 点、直线、平面之间的位置
- 1.2考点 空间中的角度和距离问题(核
- 2.1考点 空间中的角度和距离问题(核
- 3.1考点 点、直线、平面之间的位置
- 4.0两招玩转多面体的外接球
- 5.0点线面位置关系的判定
- 6.0如何确定外接(内切)球的球心
- 7.0空间角专题
- 8.0二面角大小的几种求法(归类总结分
- 9.0空间夹角与距离的求法
函数零点问题
- 三角函数 | 角平分线之斯库顿定理
- 函数 | 23个求极值和值域专题 (三)
- 三角函数 | 三角函数对偶式
- 三角函数 | 《解三角形》题型归纳
- 函数 | 23个求极值和值域专题 (一)
- 集合逻辑 | 命题 检测(教师版)
- 三角函数 | 解三角形的解题思路
- 知识点 | 知识点-立体几何知识点常见结论总















