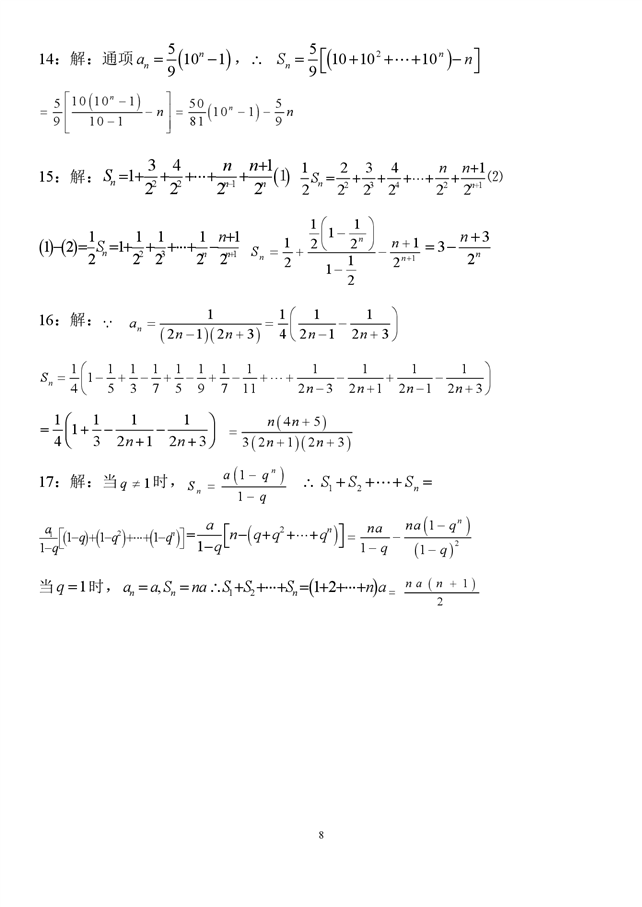
数列求和
切换到经典评论风格 查看更多评论 跟贴/ 浏览
为您推荐
- 推荐
- 集合逻辑
- 不等式
- 复数
- 函数
- 指数函数
- 对数函数
- 三角函数
- 导数
- 数列
- 平面向量
- 空间向量
- 立体几何
- 直线和圆
- 圆锥曲线
- 计数原理
- 分布列
- 概率统计
+
加载更多内容
月点击排行
周点击排行
- 1.321数列求和的基本方法技巧
- 2.204数列裂项求和常见32种类型
- 3.159利用不动点解决递推型数列不等式问
- 4.148数列的几个问题(一)
- 5.107考点 等差数列与等比数列(核心考点
- 6.90由递推关系求数列通项问题—“不动
- 7.85数列通项公式常见9种求法(一)
- 8.78和数列与积数列问题
- 9.70专题 第1讲 等差数列与等比数列
- 1.321数列求和的基本方法技巧
- 2.204数列裂项求和常见32种类型
- 3.159利用不动点解决递推型数列不等式问
- 4.148数列的几个问题(一)
- 5.107考点 等差数列与等比数列(核心考点
- 6.90由递推关系求数列通项问题—“不动
- 7.85数列通项公式常见9种求法(一)
- 8.78和数列与积数列问题
- 9.70专题 第1讲 等差数列与等比数列
1. 数列求和的基本方法技巧
- 2. 数列裂项求和常见32种类型
- 3. 利用不动点解决递推型数列不等式问题
- 4. 数列的几个问题(一)
- 5. 考点 等差数列与等比数列(核心考点讲与练)(一)
- 6. 由递推关系求数列通项问题—“不动点”法
- 7. 数列通项公式常见9种求法(一)
- 8. 和数列与积数列问题
- 9. 专题 第1讲 等差数列与等比数列
- 1.0由递推关系式求通项公式
- 2.0数列中的复杂递推式
- 3.0数列求通项公式加油包
- 4.0数列求和问题—解题策略8法
- 5.0数列通项公式常见9种求法(一)
- 6.0数列通项公式常见9种求法(二)
- 7.0数列递推求通项大观
- 8.0数列裂项求和常见32种类型
- 9.0求递推数列通项的特征根法
函数零点问题
- 三角函数 | 角平分线之斯库顿定理
- 函数 | 23个求极值和值域专题 (三)
- 三角函数 | 三角函数对偶式
- 三角函数 | 《解三角形》题型归纳
- 函数 | 23个求极值和值域专题 (一)
- 集合逻辑 | 命题 检测(教师版)
- 三角函数 | 解三角形的解题思路
- 知识点 | 知识点-立体几何知识点常见结论总








