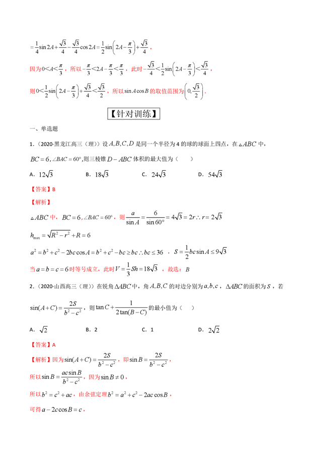
三角形中最值问题的两条捷径
切换到经典评论风格 查看更多评论 跟贴/ 浏览
为您推荐
- 推荐
- 集合逻辑
- 不等式
- 复数
- 函数
- 指数函数
- 对数函数
- 三角函数
- 导数
- 数列
- 平面向量
- 空间向量
- 立体几何
- 直线和圆
- 圆锥曲线
- 计数原理
- 分布列
- 概率统计
+
加载更多内容
月点击排行
周点击排行
- 1.1518角平分线之斯库顿定理
- 2.1015三角函数对偶式
- 3.1003《解三角形》题型归纳
- 4.777解三角形的解题思路
- 5.202考点 三角函数的图像与性质(核心考
- 6.200考点 三角函数的图像与性质(核心考
- 7.180考点 解三角形(核心考点讲与练)(一)
- 8.141微专题:三角函数题型归纳凑角
- 9.119巧借正弦图像判定三角形解的个数
- 1.1518角平分线之斯库顿定理
- 2.1015三角函数对偶式
- 3.1003《解三角形》题型归纳
- 4.777解三角形的解题思路
- 5.202考点 三角函数的图像与性质(核心考
- 6.200考点 三角函数的图像与性质(核心考
- 7.180考点 解三角形(核心考点讲与练)(一)
- 8.141微专题:三角函数题型归纳凑角
- 9.119巧借正弦图像判定三角形解的个数
1. 角平分线之斯库顿定理
- 2. 三角函数对偶式
- 3. 《解三角形》题型归纳
- 4. 解三角形的解题思路
- 5. 考点 三角函数的图像与性质(核心考点讲与练)(一)
- 6. 考点 三角函数的图像与性质(核心考点讲与练)(二)
- 7. 考点 解三角形(核心考点讲与练)(一)
- 8. 微专题:三角函数题型归纳凑角
- 9. 巧借正弦图像判定三角形解的个数
- 1.0三角函数对偶式
- 2.0《解三角形》题型归纳
- 3.0解三角形的解题思路
- 4.0角平分线之斯库顿定理
- 5.0巧借正弦图像判定三角形解的个数
- 6.0构造对偶式的八种途径
- 7.0正弦定理和余弦定理的应用一课双测
- 8.0正弦定理和余弦定理一课双测A+B精
- 9.0简单的三角恒等变换一课双测A+B精
函数零点问题
- 三角函数 | 角平分线之斯库顿定理
- 函数 | 23个求极值和值域专题 (三)
- 三角函数 | 三角函数对偶式
- 三角函数 | 《解三角形》题型归纳
- 函数 | 23个求极值和值域专题 (一)
- 集合逻辑 | 命题 检测(教师版)
- 三角函数 | 解三角形的解题思路
- 知识点 | 知识点-立体几何知识点常见结论总














