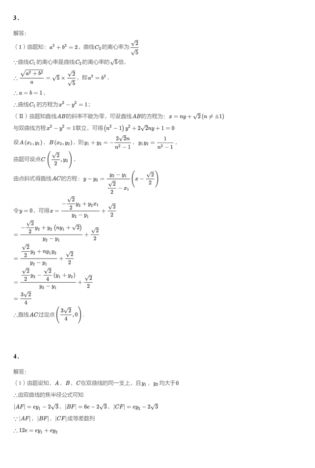
圆锥曲线专题八练(七)
切换到经典评论风格 查看更多评论 跟贴/ 浏览
为您推荐
- 推荐
- 集合逻辑
- 不等式
- 复数
- 函数
- 指数函数
- 对数函数
- 三角函数
- 导数
- 数列
- 平面向量
- 空间向量
- 立体几何
- 直线和圆
- 圆锥曲线
- 计数原理
- 分布列
- 概率统计
+
加载更多内容
月点击排行
周点击排行
- 1.309圆锥曲线离心率问题
- 2.242高考抛物线考试结论大全(二)
- 3.157解析几何专题讲座---设点问题
- 4.155招式七:直线问题-终结圆锥曲线大题
- 5.138考点 椭圆(核心考点讲与练)(一)
- 6.130高考抛物线考试结论大全(一)
- 7.90高考解析几何大招题型梳理---面积
- 8.89平移构造齐次式
- 9.72解析几何解题思维策略
- 1.309圆锥曲线离心率问题
- 2.242高考抛物线考试结论大全(二)
- 3.157解析几何专题讲座---设点问题
- 4.155招式七:直线问题-终结圆锥曲线大题
- 5.138考点 椭圆(核心考点讲与练)(一)
- 6.130高考抛物线考试结论大全(一)
- 7.90高考解析几何大招题型梳理---面积
- 8.89平移构造齐次式
- 9.72解析几何解题思维策略
1. 圆锥曲线离心率问题
- 2. 高考抛物线考试结论大全(二)
- 3. 解析几何专题讲座---设点问题
- 4. 招式七:直线问题-终结圆锥曲线大题十个大招
- 5. 考点 椭圆(核心考点讲与练)(一)
- 6. 高考抛物线考试结论大全(一)
- 7. 高考解析几何大招题型梳理---面积、中点弦、垂
- 8. 平移构造齐次式
- 9. 解析几何解题思维策略
- 1.0高考椭圆几种题型
- 2.0一道常见解析几何题的六种解法
- 3.0高考抛物线考试结论大全(一)
- 4.0高考抛物线考试结论大全(二)
- 5.0解析几何与向量综合问题—知识点大
- 6.0招式十:存在性问题-终结圆锥曲线大
- 7.0高考数学难点突破---求圆锥曲线方
- 8.0圆锥曲线齐次式与点乘双根法
- 9.0招式八:轨迹问题-终结圆锥曲线大题
函数零点问题
- 三角函数 | 角平分线之斯库顿定理
- 函数 | 23个求极值和值域专题 (三)
- 三角函数 | 三角函数对偶式
- 三角函数 | 《解三角形》题型归纳
- 函数 | 23个求极值和值域专题 (一)
- 集合逻辑 | 命题 检测(教师版)
- 三角函数 | 解三角形的解题思路
- 知识点 | 知识点-立体几何知识点常见结论总

















